transformer

最近大语言模型(LLM)的各种应用好像都比较火热,我也来凑凑热闹浅浅研究一下AI

虽然被一堆眼花缭乱的词汇弄得有些茫然,不过还是从其最基础的架构开始学习

从传统的机器学习,统计学习到如今的强化学习,深度学习,神经网络,包括以CV(computer vision)为起源发展起来的FNN(全连接神经网络),CNN(卷积神经网络),RNN(循环神经网络)等等,可以自行了解

它们虽风靡一时,但仍存在一些问题

最主要的便是它们都是依序计算,限制了GPU并行计算能力,且难以捕捉长序列的时序关系,距离越远的输入之间的关系就越难被捕捉

直到2017年一篇论文横空出世,attention is all you need,引入transformer架构(不是变形金刚qwq),成为了当今大语言模型的核心架构

阅读了论文,也看了很多讲解视频,学习了一下基本原理,但仍然感觉比较抽象,所以在githubhappy-llm这个项目中跟着大佬们手敲一个transformer以加深理解

原理可以自行阅读论文,看视频,也可以看看happy-llm这个project,下面总结一下流程(我也是新手,理解有错勿喷)

先放一下这张图

如图

首先我们假设ai接收到了用户的一串输入,它肯定是看不懂文字的,只能将其转化为数字,但是若一个数字对应一个字,未免太多了,因此通常以向量的形式来表示

具体点,这串输入被tokenizer分为一个个token(最小片段),并有着各自的token ID,通过查询词嵌入矩阵(embedding matrix),每个token ID会被映射为一个固定维度的向量表示,即token embedding(词嵌入),这是根据大量数据的训练得来的,此时意思相近的矩阵会在如点积这类相似度计算上表现为相近,例如kobe和bryant相近(开玩笑),或者经典的like woman - man + king = queen

代码实现:

1
2
3
# embedding

self.tok_embeddings = nn.Embedding(args.vocab_size,args.dim)

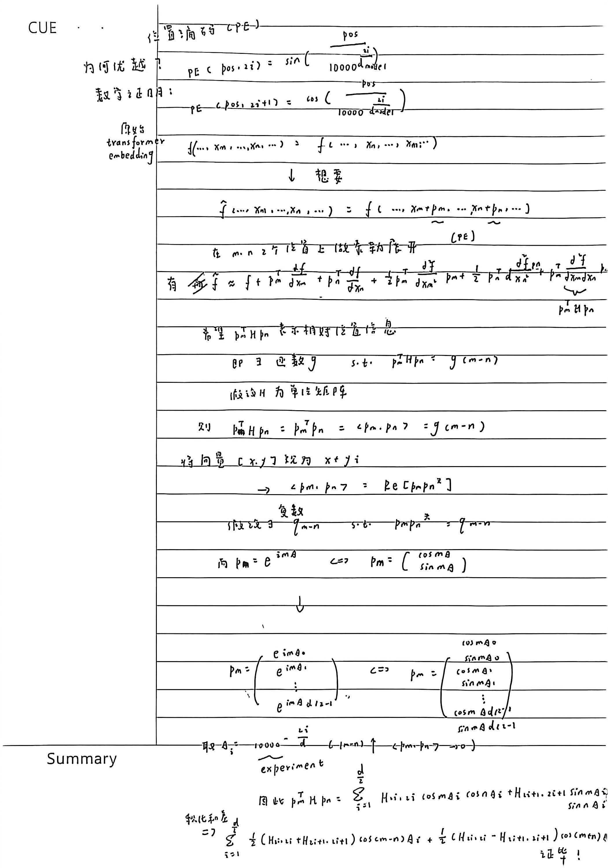
此时文字包含了语义信息,但是却没有位置信息,我爱你可以被理解为你爱我,但,这可能吗…(说好的幸福呢…)

好了不扯了,那么因此要加上位置信息对吧,采用一种很神秘的形式(PE positional embedding),跟着数学公式大致推导了一番,理解理解得了

如图

如图

字有点丑,不要介意,总之这样我们就给token加上了位置信息,而且根据三角函数的一些性质,计算也是比较方便的,可以看到

如图

效果还是很不错的

numpypytorch的实现:

1
2
3
4
5
6
7
8
9
10
11
12
13
14
15
16
17
18
19
20
21
22
23
24
25
26
27
28
29
30
31
32
33
34
35
36
37
38
39
40
41
42
43
44
45
46
# 位置编码(PE)

# 数学原理与证明
import numpy as np
import matplotlib.pyplot as plt

def PositionEncoding(seq_len,d_model,n=10000):
P = np.zeros((seq_len,d_model))
for k in range(seq_len):
for i in np.arange(int(d_model/2)):
denominator = np.power(n,2*i/d_model)
P[k,2*i] = np.sin(k/denominator)
P[k,2*i+1] = np.cos(k/denominator)
return P
P = PositionEncoding(seq_len=4,d_model=4,n=100)

print(P)

# 位置编码层
# pytorch实现

class PositionEncoding(nn.Module):
def __init__(self,args):
super(PositionEncoding,self).__init__()
# Dropout 层
# self.dropout = nn.Dropout(p=args.dropout)

# block size 是序列的最大长度
pe = torch.zeros(args.block_size,args.n_embd)
position = torch.arange(0,args.block_size).unsqueeze(1)

# 计算 theta
div_term = torch.exp(
torch.arange(0,args.n_embd,2) * -(math.log(10000.0) / args.n_embd)
)

# 分别计算 sin、cos 结果
pe[:, 0::2] = torch.sin(position * div_term)
pe[:, 1::2] = torch.cos(position * div_term)
pe = pe.unsqueeze(0)
self.register_buffer("pe",pe)

def forward(self,x):
# 将位置编码加到 Embedding 结果上
x = x + self.pe[:, : x.size(1)].requires_grad_(False)
return x

此时有了语义信息和位置信息,却没有上下文信息,即,词与词之间的关联

因此接下便是核心部分,attention is all you need,所谓注意力机制,源于这个经典公式

$$ \text{attention}(Q, K, V) = \text{softmax}\left(\frac{QK^T}{\sqrt{d_k}}\right)V $$

q代表query,k代表key,v代表value

还是简单解释一下吧,例如,james is crab(随便举个例子)这句句子,被分为token A,B,C,分别是james,is,crab

每个token都有自己的q,k,v

crab的q类似于”我(crab)现在需要从上下文中获取什么信息?”

而每个token的key类似于”我这个token能回答什么问题?”

  • 比如token A,我是一个人名

  • token B,我表示一种判断

v类似”如果你关注我,我真正传递给你的信息”,即,实际被加权汇总的内容

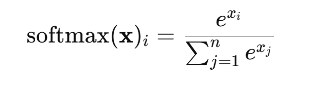
token C的q与每个token的k相乘(向量点积),然后为防止数值过大除以dim的平方根,得到一系列logits(分数),此时,显然james的分数最高,is次之,最后才是crab本身,代表”为了理解crab,我最该关注james”

最后通过softmax转换为一个和为1的概率分布,再用该概率对所有token的v进行加权求和,得到crab的新的包含上下文信息的向量表示,类似于”作为james的某种比喻存在的crab”,这样我们就使得crab注意到了james,有了上下文含义,是不是很奇妙

如图

而每个q,k,v分别由原本的向量与权重矩阵Wq,Wk,Wv相乘得来,这些权重矩阵便是训练的核心,初始先随机,然后根据反向传播梯度下降不断调整便是,不再赘述

代码实现:

1
2
3
4
5
6
7
8
9
10
11
12
13
14
15
16
17
18
19
20
21
# 注意力机制实现
def attention(query, key, value, dropout=None):
'''
args:
query: 查询值矩阵
key: 键值矩阵
value: 真值矩阵
'''
# 获取键向量的维度,键向量的维度和值向量的维度相同
d_k = query.size(-1)
# 计算Q与K的内积并除以根号dk
# transpose——相当于转置
scores = torch.matmul(query, key.transpose(-2, -1)) / math.sqrt(d_k)
# Softmax
p_attn = scores.softmax(dim=-1)
if dropout is not None:
p_attn = dropout(p_attn)
# 采样
# 根据计算结果对value进行加权求和

return torch.matmul(p_attn, value), p_attn

transformer的注意力机制又包括encoder自注意力机制decoder掩码自注意力机制

1
2
3
4
5
6
7
8
9
10
11
12
13
14
15
# 自注意力
# attention 为上文定义的注意力计算函数
attention(x, x, x)


# 掩码自注意力
# 创建一个上三角矩阵,用于遮蔽未来信息。
# 先通过 full 函数创建一个 1 * seq_len * seq_len 的矩阵
mask = torch.full((1,args.max_seq_len,args.max_seq_len), float("-inf"))
# triu 函数的功能是创建一个上三角矩阵
mask = torch.triu(mask, diagonal=1)

# 此处的 scores 为计算得到的注意力分数,mask 为上文生成的掩码矩阵
scores = scores + mask[:, :, :seqlen, :seqlen]
scores = F.softmax(scores.float(), dim=-1).type_as(xq)

自注意力比较好理解,就不解释了,掩码自注意力机制可以理解为将矩阵的上三角部分都设置为负无穷,下三角部分均为0,在与注意力分数求和并经过softmax后,上三角部分便变为了0(即被masked),因此在每一行的输入中,模型都只能看到前一个token,并以此预测下一个token,而且可以并行地计算

如图

但是一次注意力计算只能拟合一种相关关系,单一的注意力机制很难全面拟合语句序列里的相关关系。因此transformer使用了多头注意力机制(Multi-Head Attention),即同时对一个语料进行多次注意力计算,每次注意力计算都能拟合不同的关系,将最后的多次结果拼接起来作为最后的输出,即可更全面深入地拟合语言信息

如图

代码实现:

1
2
3
4
5
6
7
8
9
10
11
12
13
14
15
16
17
18
19
20
21
22
23
24
25
26
27
28
29
30
31
32
33
34
35
36
37
38
39
40
41
42
43
44
45
46
47
48
49
50
51
52
53
54
55
56
57
58
59
60
61
62
63
64
65
66
67
68
69
70
71
72
73
74
75
76
77
78
79
80
81
82
83
84
85
86
87
88
89
# 多头注意力机制
import torch.nn as nn
import torch

class MultiHeadAttention(nn.Module):
def __init__(self,args:ModelArgs,is_causal=False):
# 构造函数
# args: 配置对象
super().__init__()
# 隐藏层维度必须是头数的整数倍,因为后面我们会将输入拆成头数个矩阵
assert args.dim % args.n_heads == 0
# 每个头的维度,等于模型维度除以头的总数。
self.head_dim = args.dim // args.n_heads
self.n_heads = args.n_heads

# Wq, Wk, Wv 参数矩阵,每个参数矩阵为 n_embd x dim
# 这里通过三个组合矩阵来代替了n个参数矩阵的组合,其逻辑在于矩阵内积再拼接其实等同于拼接矩阵再内积,
# 不理解的读者可以自行模拟一下,每一个线性层其实相当于n个参数矩阵的拼接

self.wq = nn.Linear(args.n_embd, self.n_heads * self.head_dim, bias=False)
self.wk = nn.Linear(args.n_embd, self.n_heads * self.head_dim, bias=False)
self.wv = nn.Linear(args.n_embd, self.n_heads * self.head_dim, bias=False)
# 输出权重矩阵,维度为 dim x dim(head_dim = dim / n_heads)
self.wo = nn.Linear(self.n_heads * self.head_dim, bias = False)
# 注意力的 dropout
self.attn_dropout = nn.Dropout(args.dropout)

# 残差连接的 dropout
self.resid_dropout = nn.Dropout(args.dropout)

self.is_causal = is_causal

# 创建一个上三角矩阵,用于遮蔽未来信息
# 注意,因为是多头注意力,Mask 矩阵比之前我们定义的多一个维度

if is_causal:
mask = torch.full((1,1,args.max_seq_len,args.max_seq_len),float("-inf"))
mask = torch.triu(mask,diagonal=1)

# 注册为模型的缓冲区
self.register_buffer("mask",mask)

def forward(self,q:torch.Tensor,k:torch.Tensor,v:torch.Tensor):
# 获取批次大小和序列长度,[batch_size, seq_len, dim]
bsz, seqlen, _ = q.shape

# 计算查询(Q)、键(K)、值(V),输入通过参数矩阵层,维度为 (B, T, n_embed) x (n_embed, dim) -> (B, T, dim)
xq,xk,xv = self.wq(q),self.wk(k),self.wv(v)

# 将 Q、K、V 拆分成多头,维度为 (B, T, n_head, dim // n_head),然后交换维度,变成 (B, n_head, T, dim // n_head)
# 因为在注意力计算中我们是取了后两个维度参与计算
# 为什么要先按B*T*n_head*C//n_head展开再互换1、2维度而不是直接按注意力输入展开,是因为view的展开方式是直接把输入全部排开,
# 然后按要求构造,可以发现只有上述操作能够实现我们将每个头对应部分取出来的目标

xq = xq.view(bsz,seqlen,self.n_heads,self.head_dim)
xk = xk.view(bsz,seqlen,self.n_heads,self.head_dim)
xv = xv.view(bsz,seqlen,self.n_heads,self.head_dim)

xq = xq.transpose(1,2)
xk = xk.transpose(1,2)
xv = xv.transpose(1,2)
# 注意力计算
# 计算 QK^T / sqrt(d_k),维度为 (B, nh, T, hs) x (B, nh, hs, T) -> (B, nh, T, T)
scores = torch.matmul(xq,xk.transpose(2,3)) / math.sqrt(self.head_dim)
# 掩码自注意力必须有注意力掩码
if self.is_causal:
assert hasattr(self,'mask')

# 这里截取到序列长度,因为有些序列可能比 max_seq_len 短
scores = scores + self.mask[:,:,:seqlen,:seqlen]

# 计算 softmax,维度为 (B, nh, T, T)
scores = F.softmax(scores.float(),dim=-1).type_as(xq)
# 做 Dropout
scores = self.attn_dropout(scores)
# V * Score,维度为(B, nh, T, T) x (B, nh, T, hs) -> (B, nh, T, hs)
output = torch.matmul(scores,xv)

# 恢复时间维度并合并头。
# 将多头的结果拼接起来, 先交换维度为 (B, T, n_head, dim // n_head),再拼接成 (B, T, n_head * dim // n_head)
# contiguous 函数用于重新开辟一块新内存存储,因为Pytorch设置先transpose再view会报错,
# 因为view直接基于底层存储得到,然而transpose并不会改变底层存储,因此需要额外存储
output = output.transpose(1,2).contiguous().view(bsz,seqlen,-1)

# 最终投影回残差流。
output = self.wo(output)
output = self.resid_dropout(output)

return output

此时通过attention我们得到了包含语义,位置,上下文信息的token向量表示,但是不管多复杂,这些都是线性的,不能做复杂的非线性特征提取,因此需要加入一层FNN(前馈神经网络),引入非线性(激活函数),增强模型表达能力,类似于传统MLP

代码实现

1
2
3
4
5
6
7
8
9
10
11
12
13
14
15
16
17
# 前馈神经网络 FNN

class MLP(nn.Module):
def __init__()
super.__init__()
# 定义第一层线性变换,从输入维度到隐藏维度
self.w1 = nn.Linear(dim,hidden_dim,bias=False)
# 定义第二层线性变换,从隐藏维度到输入维度
self.w2 = nn.Linear(hidden_dim,dim,bias=False)
# 定义dropout层,用于防止过拟合
self.dropout = nn.Dropout(dropout)

def forward(self,x):
# 前向传播函数
# 首先,输入x通过第一层线性变换和RELU激活函数
# 最后,通过第二层线性变换和dropout层
return self.dropout(self.w2(F.relu(self.w1(x))))

随着神经网络层数的不断叠加,在反向传播的过程中,根据链式法则,梯度会不断与各层的导数相乘。当这些导数的模长期大于 1小于 1时,梯度便会呈指数级增长或衰减,从而分别引发梯度爆炸梯度消失问题,使得深层网络难以稳定训练,而add&norm就是在解决这个问题

其中,add代表残差连接(residual connection)

y = x + Sublayer(x)

在反向传播时,即使子层本身的梯度很小或很大,梯度仍然可以通过残差路径(Sublayer)直接传递,从而有效缓解梯度消失和梯度爆炸的问题,并使深层网络更容易优化,毕竟x的导数永远是1,使得梯度在传播过程中至少保留一条不发生缩放的通路

从数学角度看,设L为损失函数:

如图

即使子层的梯度趋近于0,梯度仍然可以通过恒等映射项1直接回传,从而避免梯度完全消失;而当子层梯度过大时,残差结构也能在一定程度上缓冲梯度的剧烈变化,使训练过程更加稳定,这也是ai发展中里程碑式的一层

代码实现:

1
2
3
4
# 残差连接 resnet residual connection 防止深层网络叠加下的梯度消失/梯度爆炸
h = x + self.attentiom.forward(self.attention_norm(x))

out = h + self.feed_forward.forward(self.fnn_norm(h))

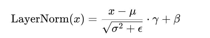
norm通常采用layer norm(batch norm我不会,不讲了)

对每个token的特征维度进行归一化处理,使其均值为0,方差为1,稳定各层的激活分布,防止数值随着层数加深而漂移,提高训练过程的稳定性和收敛速度

如图

代码实现:

1
2
3
4
5
6
7
8
9
10
11
12
13
14
15
16
17
18
19
20
# 层归一化(layer norm)
# 批归一化(batch norm)
class LayerNorm(nn.Module):
def __init__(self,features,eps=1e-6):
super.__init__()

# 线性矩阵做映射
self.a_2 = nn.Parameter(torch.ones(features))

self.b_2 = nn.Parameter(torch.zeros(features))
self.eps = eps

def forward(self,x):

# 在统计每个样本所有维度的值,求均值和方差
mean = x.mean(-1,keepdim=True) # mean: [bsz, max_len, 1]
std = x.std(-1,keepdim=True) # std: [bsz, max_len, 1]

# 注意这里也在最后一个维度发生了广播
return self.a_2 * (x-mean) / (std+self.eps) + self.b_2

将这些串联起来,我们就能写出encoder layer和decoder layer了,而n个这样的layer便组成了完整的encoder和decoder

代码如下,需要注意一些细节,自己注意一下吧,毕竟,attention is all you need

1
2
3
4
5
6
7
8
9
10
11
12
13
14
15
16
17
18
19
20
21
22
23
24
25
26
27
28
29
30
31
32
33
34
35
36
37
38
39
40
41
42
43
44
45
46
47
48
49
50
51
52
53
54
55
56
57
58
59
60
61
62
63
64
65
66
67
68
69
70
71
72
73
74
75
76
77
78
79
80
81
82
83
84
85
86
87
88
# encoder

class EncoderLayer(nn.Module):
def __init__(self,args):
super.__init__()
# 一个 Layer 中有两个 LayerNorm,分别在 Attention 之前和 MLP 之前
self.attention_norm = Layernorm(args.n_embd)
# Encoder 不需要掩码,传入 is_causal=False
self.attention = MultiHeadAttention(args,is_causal=False)
self.fnn_norm = LayerNorm(args,n_embd)
self.feed_forward = MLP(args.dim,args.dim,dropout)


def forward(self,x):
# Layer Norm
norm_x = self.attention_norm(x)
# 自注意力
h = x + self.attention_forward(norm_x,norm_x,norm_x)
# 经过前馈神经网络
out = h + self.feed_forward.forward(self.fnn_norm(h))

return out

class Encoder(nn.Module):
def __init__(self,args):
super(Encoder,self).__init__()

# 一个 Encoder 由 N 个 Encoder Layer 组成
self.layers = nn.ModuleList([EncoderLayer(args) for _ in range(args.n_layer)])
self.norm = LayerNorm(args.n_embd)

def forward(self,x):
for layer in self.layers:
x = layer(x)

return self.norm(x)


# decoder

class DecoderLayer(nn.Module):
def __init__(self,args):
super().__init__()
# 一个 Layer 中有三个 LayerNorm,分别在 Mask Attention 之前、Self Attention 之前和 MLP 之前

self.attention_norm_1 = LayerNorm(args.n_embd)
# Decoder 的第一个部分是 Mask Attention,传入 is_causal=True
self.mask_attention = MultiHeadAttention(args,is_causal=True)
self.attention_norm_2 = LayerNorm(args.n_embd)
# Decoder 的第二个部分是 类似于 Encoder 的 Attention,传入 is_causal=False

self.attention = MultiHeadAttention(args,is_causal=False)

self.fnn_norm = LayerNorm(args.n_embd)

# 第三个部分是 MLP
self.feed_forward = MLP(args.dim,args.dim,dropout)

def forward(self,x,enc_out):
# Layer Norm
norm_x = self.attention_norm_1(x)

# 掩码自注意力
x = x + self.mask_attention.forward(norm_x,norm_x,norm_x)

# 多头注意力
norm_x = self.attention_norm_2(x)
h = x + self.attention.forward(norm_x,enc_out,enc_out)

# 经过前馈神经网络
out = h + self.feed_forward.forward(self.fnn_norm(h))

return out


class Decoder(nn.Module):
def __init__(self,args):
super(Decoder,self).__init__()
# 一个 Decoder 由 N 个 Decoder Layer 组成

self.layers = nn.ModuleList([DecoderLayer(args) for _ in range(args.n_layer)])
self.norm = LayerNorm(args.n_embd)

def forward(self,x,enc_out):
for layer in self.layers:
x = layer(x,enc_out)

return self.norm(x)

最后把所有的都结合起来,合成我们的transformer

1
2
3
4
5
6
7
8
9
10
11
12
13
14
15
16
17
18
19
20
21
22
23
24
25
26
27
28
29
30
31
32
33
34
35
36
37
38
39
40
41
42
43
44
45
46
47
48
49
50
51
52
53
54
55
56
57
58
59
60
61
62
63
64
65
66
67
68
69
70
71
72
73
74
75
76
77
78
79
80
81
82
83
84
85
86
87
88
89
90
# 完整 transformer 模型
# combination

class Transformer(nn.Module):
'''整体模型'''
def __init__(self,args):
super().__init__()
# 必须输入词表大小和 block size
assert args.vocab_size is not None
assert args.block_size is not None
self.args = args
self.transformer = nn.ModuleDict(dict(
wte = nn.Embedding(args.vocab_size,args.n_embd),
wpe = PositionEncoding(args),
drop = nn.Dropout(args.dropout),
encoder = Encoder(args),
decoder = Decoder(args),
))
# 最后的线性层,输入是 n_embd,输出是词表大小
self.lm_head = nn.Linear(args.n_embd,args.vocab_size,bias=False)

# 初始化所有的权重
self.apply(self._init_weights)

# 查看所有参数的数量
print("number of parameters: %.2fM" % (self.get_num_params()/1e6,))

'''统计所有参数的数量'''
def get_num_params(self,non_embedding=False):
# non_embedding: 是否统计 embedding 的参数
n_params = sum(p.numel() for p in self.parameters())

# 如果不统计 embedding 的参数,就减去
if non_embedding:
n_params -= self.transformer.wte.weight.numel()
return n_params

'''初始化权重'''
def _init_weights(self,module):
# 线性层和 Embedding 层初始化为正则分布
if isinstance(module,nn.Linear):
torch.nn.init.normal_(module.weight,mean=0.0,std=0.02)
if module.bias is not None:
torch.nn.init.zeros_(module.bias)
elif isinstance(module,nn.Embedding):
torch.nn.init.normal_(module.weight,mean=0.0,std=0.02)

'''前向计算函数'''
def forward(self,idx,targets=None):
# 输入为 idx,维度为 (batch size, sequence length, 1);targets 为目标序列,用于计算 loss
device = idx.device
b,t = idx.size()
assert t <= self.args.block_size, f"不能计算该序列,该序列长度为{t},最大序列长度只有{self.args.block_size}"

# 通过 self.transformer
# 首先将输入 idx 通过 Embedding 层,得到维度为 (batch size, sequence length, n_embd)
print("idx",idx.size())

# 通过 Embedding 层
tok_emb = self.transformer.wte(idx)
print("tok_emb",tok_emb.size())

# 然后通过位置编码
pos_emb = self.transformer.wpe(tok_emb)

# 再进行 Dropout
x = self.transformer.drop(pos_emb)

# 然后通过 Encoder
print("x after wpe : ",x.size())
enc_out = self.transformer.encoder(x)

print("enc_out : ",enc_out.size())

# 再通过 Decoder
x = self.transformer.decoder(x,enc_out)
print("x after decoder : ",x.size())

if targets is not None:
# 训练阶段,如果我们给了 targets,就计算 loss
# 先通过最后的 Linear 层,得到维度为 (batch size, sequence length, vocab size)
logits = self.lm_head(x)
# 再跟 targets 计算交叉熵
loss = F.cross_entropy(logits.view(-1,logits.size(-1)),targets.view(-1),ignore_idx=-1)
else:
# 推理阶段,我们只需要 logits,loss 为 None
# 取 -1 是只取序列中的最后一个作为输出
logits = self.lm_head(x[:, [-1], :]) # note: using list [-1] to preserve the time dim
loss = None
return logits, loss

hands-on!

最后

AI时代,学习ai,理解ai,运用ai,让其成为你的工具,而非陷入ai是不是会取代人类的焦虑,思索…

感谢阅读,生活愉快


transformer
https://roxy5201314.github.io/2026/01/25/transformer/
作者
roxy
发布于
2026年1月25日
更新于
2026年4月16日
许可协议